
LUTHMANN NOTE: The Kathy Hochul-John Crangle affair isn’t just salacious gossip—it’s a key to understanding Erie County’s corrupt Democratic machine. Whistleblower Ryan Flynn exposes a web of favoritism, selective prosecution, and retaliation that shields insiders while punishing those who speak the truth. From falsified evidence to broken laws, from sabotaged lawyers to pretrial detention for minor infractions, this is political power weaponized. The Dennis Crangle tapes corroborate the affair, showing how personal relationships became political leverage. The public deserves transparency, not cover-ups. Outside investigations are long overdue; sunlight is the only disinfectant. This piece is “Kathy Hochul’s Secret Affair,” first available on NYNewsPress.com.
By Richard Luthmann and Rick LaRivière
(ERIE COUNTY, NEW YORK) – A bombshell allegation is rocking New York’s political circles: Governor Kathy Hochul is accused of having a secret sexual affair with Tonawanda Democratic chairman John Crangle during their time in the Erie County Clerk’s Office. The claim comes from whistleblower and de facto political prisoner Ryan Flynn, who detailed the illicit liaison in a recent federal court filing.
Flynn – a cousin of ex-Erie County DA John Flynn – says a recorded conversation with Crangle’s own brother, Dennis, confirms the long-rumored tryst.
“Johnny and the governor are like this… they more or less slept together at the Erie County Clerk’s Office ’cause they both worked there at the same time,” Dennis Crangle said on tape, referring to his brother John and Hochul.
Hochul was the Erie County Clerk in the late 2000s, and John Crangle served as her deputy. According to Dennis, the two grew very close. If true, the affair means New York’s sitting governor carried on an extramarital fling that helped forge powerful alliances in the local Democratic machine.
Flynn’s court filing casts this as more than a personal scandal – it’s portrayed as the dirty secret that greased Hochul’s rise. The governor’s husband, former U.S. Attorney William J. Hochul, Jr., is notably absent from this tawdry tale.
The explosive affair allegation is now on the record in federal court papers, even as Hochul’s office has stayed silent.
The lead weight of this revelation goes beyond salacious gossip – it pulls back the curtain on what Flynn calls an incestuous cabal of Erie County power brokers who trade favors and cover each other’s sins.
Kathy Hochul’s Secret Affair: Power, Favors, and the Erie County Machine
Flynn’s allegations paint a vivid picture of a backroom power network in Western New York where personal liaisons and political favors intertwine. At the center of it is John Crangle, a behind-the-scenes Democratic boss long influential in Erie County politics – and, allegedly, Kathy Hochul’s secret paramour.
According to his brother, Dennis Crangle’s recorded remarks, John and Hochul were “more or less” intimate, and their alliance paid dividends. It gave Hochul an inside track within the county’s Democratic establishment and, by extension, an entrée into Governor Andrew Cuomo’s circle as her career advanced.
The same machine elevated others in its orbit: Dennis recounted that his brother John Crangle and former DA John Flynn were so entrenched in local power that people “used to call them the Kennedys of Tonawanda” because “they have so much power.” In fact, John Crangle’s sway was instrumental in making Flynn the DA – Dennis says Crangle and Flynn “exchanged political favors” to secure Flynn the Democratic endorsement for Erie County District Attorney.
That favor chain underscores how deeply intertwined the players are.
“John Flynn owes everything to my brother,” Dennis remarked, noting that Flynn even publicly thanked John Crangle as his kingmaker.
Crangle himself nearly became Erie County Democratic Chairman, according to his brother, before opting to remain a big fish in his Town of Tonawanda pond. This is the incestuous ecosystem Ryan Flynn wants exposed: a tight clique of Erie County Democrats who climb the ladder by scratching each other’s backs (and, allegedly, slipping into each other’s beds).
In Flynn’s telling, Hochul’s leap from county clerk to Congresswoman to lieutenant governor wasn’t just luck or merit – it was boosted by the influence of men like John Crangle, who delivered her into the good graces of Cuomo-era heavyweights. It’s a saga of insider politics where loyalty is cemented in whispered deals, patronage jobs, and, if Flynn is to be believed, secret bedroom rendezvous.
The implications are staggering: if New York’s first female governor’s career was midwifed by an illicit affair with a party boss, it lays bare the rot of machine politics that rewards connections over credibility.
Kathy Hochul’s Secret Affair: Whistleblower Jailed in Suspected Retaliation
Ryan Flynn knows the costs of crossing this machine – he’s living them. The 32-year-old whistleblower has been languishing behind bars in pretrial detention for months, in what he calls payback for blowing the whistle on corruption and abuse. “I’m being held here unlawfully” as a political prisoner, Flynn insists from the Erie County Holding Center.
His ordeal began after he accused his older cousin, former DA John Flynn, of sexually molesting him when Ryan was a child. Flynn filed a detailed police report in April 2025 describing how John – then in his late 20s – allegedly groped and threatened 10-year-old Ryan decades ago.
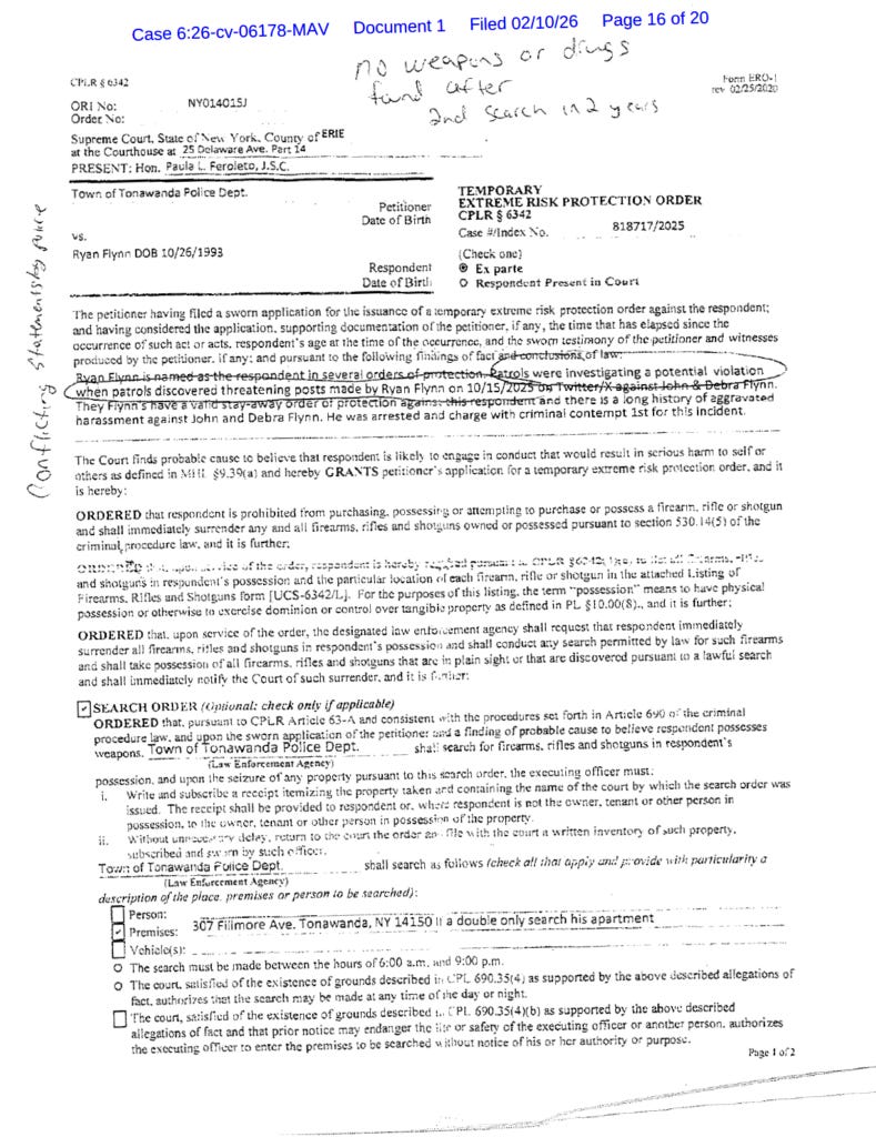
But instead of investigating the powerful DA, the system turned on the accuser. Just months after Ryan spoke out, he was arrested and remanded without bail on a flimsy charge that he had violated an order of protection by tweeting a threat at his cousin’s wife. The so-called evidence was a single screenshot of an anonymous social media post – an account not registered to Ryan, containing the phrase “just kidding,” with no IP address, no device records, no metadata tying it to him.
“They can’t even establish the [post] came from me, yet they’re holding me in pretrial detention,” Flynn noted, baffled at how such a baseless accusation could jail him.
The charge is nonviolent and based on virtually nothing, yet Judge J. Mark Gruber – a town judge who, notably, worked alongside John Flynn for years – ordered Ryan held without bail. This is despite New York’s bail reform law, which was supposed to prevent jailing people on minor, nonviolent charges. Ironically, John Flynn himself once bragged that under his watch, “no one will be held in jail for nonviolent crimes” – yet his own accuser sits behind bars.
To Ryan and his supporters, the message is crystal clear: accuse the wrong powerful figure, and the system will make you pay. Flynn calls it outright retaliation – a punitive detention meant to silence him and scare off any other would-be whistleblowers.
The timeline raises serious questions about selective prosecution. As investigative reports have noted, John Flynn built his career preaching “believe the victim” in cases against his political enemies. He even once declared, “I stand with the child,” in a high-profile press conference charging rival Steve Pigeon with sexual assault on a teenager.
Yet when over 900 victims came forward with clergy abuse claims in Buffalo, Flynn’s office did not prosecute a single priest. And when his own family member accused him of child abuse, the accuser, Ryan, was the one thrown in jail. It’s a double standard that stinks of corruption.
Inside that jail, Flynn’s treatment has been nothing short of nightmarish. He spent weeks in an unheated cell during the frigid Buffalo winter, with a broken sink that left him without water.
“No heat, no. They would turn the heat off…for like four days to mess with us,” Flynn recounted of his time in the notorious Delta unit, where he shivered under a thin, hole-ridden blanket.
Guards even opened windows while the heat was off, he said, subjecting him to freezing temperatures as punishment. Only after famed Western New York reporter Frank Parlato exposed these conditions did officials abruptly transfer him out of the cold gulag cell.
Flynn has also described being shipped to a remote county jail facility (“Alden”) with no cameras, where a sergeant told him point-blank that John Flynn got him his job – a clear insinuation of influence over Ryan’s custody. In one arrest, Ryan’s wrist was broken by police – he has the medical records and a pending lawsuit to prove it.
All of this, he argues, is part of a campaign of official intimidation. The whistleblower’s desperation grew so intense that early this year, he launched a hunger strike, vowing “publish or I die” until the media reported his story. Only after independent outlets began shining a light did Ryan begin eating again.
Still, mainstream news outlets have largely shrugged – a silence that speaks volumes in a state where the accused is politically connected. Flynn remains jailed without trial, shouting into the void for someone to hear his story.
Kathy Hochul’s Secret Affair: Rigged Justice, Sabotaged Defense, and Falsified Evidence
From his cell, Ryan Flynn has been meticulously documenting what he calls a conspiracy to derail his defense. In recorded jailhouse calls and court filings, he lays out a stunning pattern of legal malpractice and evidence tampering – all allegedly orchestrated to ensure he never gets a fair day in court. His court-appointed attorney, Nicholas Texido, is supposed to defend him. Instead, Flynn says Texido is effectively throwing the case.
“He’s completely corrupt. He refuses to answer his phone… lied to me… didn’t even show up to the first bail hearing,” Flynn said of Texido.
Why would a defense lawyer sabotage his own client? Flynn claims it’s because Texido is “in with [DA] Flynn’s people” – in particular, with Kevin Spalding, the head of Erie County’s assigned counsel office. According to Flynn, his powerful cousin, John Flynn, sent word through Spalding that any lawyer who zealously represented Ryan would be punished.
In one call, Ryan relayed that his uncle basically told attorneys, “You’re never gonna win another case, or I’m gonna kick you off assigned counsel, if you help my nephew.”
The result? Ryan cycled through four court-appointed lawyers; none filed a single motion on his behalf. Every adjournment and delay has stretched out his pretrial imprisonment, while evidence that could clear him gathers dust.
Perhaps the most outrageous claim is that authorities falsified evidence to incriminate Flynn. In one of his cases, police allegedly altered text messages to make Ryan’s words sound more threatening than they really were.
“They added words to my text message that I did not say, and then submitted them to the court,” Flynn explained, noting this was done to turn a minor dispute into a criminal charge.
When he tried to prove the texts were doctored – even citing the U.S. code that criminalizes evidence tampering – the court destroyed the motion he filed on the matter, Flynn says. It’s hard to imagine a more Kafkaesque scenario: evidence gets faked to charge him, and when he complains, the complaint itself vanishes.
Likewise, the core accusation keeping him in jail – that stray tweet “threat” – has never been linked to him by any forensic proof. No matter, the judge took the extraordinary step of jailing him on the spot.
That judge, J. Mark Gruber of Tonawanda, has his own cloud of impropriety. Flynn’s team points out that Gruber worked with John Flynn for six years in the same small-town government office. Under any ethical standard, a judge with such close ties to the accuser’s relative should recuse himself – but Gruber did not. Instead, he’s been instrumental in keeping Ryan locked up, even reissuing an iffy order of protection and then citing Ryan for violating it.
An ethics complaint about Gruber’s apparent conflict of interest has already been filed with the state Commission on Judicial Conduct.
In Ryan Flynn’s eyes, the entire justice apparatus in Erie County is compromised – from cops, to lawyers, to jailers, to judges – all working in concert to protect one of their own (former DA Flynn) by crushing the whistleblower.
“The people we’re dealing with here are the most corrupt people that don’t want me exposing their corruption,” he said bluntly.
He likens his situation to lawfare: the weaponization of courts and law enforcement for political revenge. Every step of the way, his rights have been trampled: denied bail, denied a speedy trial, denied effective counsel, and even denied basic humane jail conditions. Flynn’s experience, extreme as it is, he argues, is not happening in a vacuum – it’s being enabled by higher-ups in Albany.
He alleges a cover-up that extends to the state’s top leaders, including Governor Hochul and Attorney General Letitia James. Both have so far turned a blind eye to the case. To Flynn, their silence makes them complicit in what he calls the “Hochul gulag” – a term he’s used to describe the political imprisonment of a whistleblower on Hochul’s watch.
“This is not justice. It is punishment. It is political custody. It is the New York Democrat machine running personal protection for one of its own – by disappearing the accuser,” journalist Richard Luthmann wrote after interviewing Flynn, summarizing the whistleblower’s plight.
Indeed, despite the mountain of red flags in Erie County, no state official has intervened. No special prosecutor; no public corruption probe; not a peep from those who normally crow about justice reform. It’s as if the system’s gatekeepers are shielding their allies and hoping this all stays buried.
Kathy Hochul’s Secret Affair: Request for Comment
We requested a comment from Governor Hochul and her office. We received no response as of press time. Here is what we asked:
From: Richard Luthmann <richard.luthmann@protonmail.com>
Date: On Tuesday, February 17th, 2026 at 9:30 AM
Subject: Governor Hochul Allegedly Slept with Erie County Power Broker to Propel Political Career – Need Comment
To: Press.Office@exec.ny.gov <Press.Office@exec.ny.gov>, scousins@nysenate.gov <scousins@nysenate.gov>, ortt@nysenate.gov <ortt@nysenate.gov>, jessica.decerc@exec.ny.gov <jessica.decerc@exec.ny.gov>, correspondence.office@exec.ny.gov <correspondence.office@exec.ny.gov>, Karen.p.keogh@exec.ny.gov <Karen.p.keogh@exec.ny.gov>, melissa.bochenski@exec.ny.gov <melissa.bochenski@exec.ny.gov>, rolison@nysenate.gov <rolison@nysenate.gov>, biskup@nysenate.gov <biskup@nysenate.gov>, kathy.hochul@exec.ny.gov <kathy.hochul@exec.ny.gov>, Jennifer.OConnorTeepe@exec.ny.gov <Jennifer.OConnorTeepe@exec.ny.gov>, press.rsvp@exec.ny.gov <press.rsvp@exec.ny.gov>, employeerelations@exec.ny.gov <employeerelations@exec.ny.gov>, covid19supplies@exec.ny.gov <covid19supplies@exec.ny.gov>, Nonprofits@exec.ny.gov <Nonprofits@exec.ny.gov>, Governor.Hochul@exec.ny.gov <Governor.Hochul@exec.ny.gov>, Letitia.james@ag.ny.gov <Letitia.james@ag.ny.gov>, helen@helenrosenthal.com <helen@helenrosenthal.com>, KPowers@council.nyc.gov <KPowers@council.nyc.gov>, Robin.ChappelleGolston@exec.ny.gov <Robin.ChappelleGolston@exec.ny.gov>, cymbros@assembly.state.ny.us <cymbros@assembly.state.ny.us>, kavanagh@nysenate.gov <kavanagh@nysenate.gov>, karen.p.keogh@exec.ny.gov <karen.p.keogh@exec.ny.gov>, kathleen.hochul@exec.ny.gov <kathleen.hochul@exec.ny.gov>, elizabeth.fine@exec.ny.gov <elizabeth.fine@exec.ny.gov>, letitia.james@ag.ny.gov <letitia.james@ag.ny.gov>, jennifer.levy@ag.ny.gov <jennifer.levy@ag.ny.gov>, lawrence.schimmel@ag.ny.gov <lawrence.schimmel@ag.ny.gov>, marta.nelson@exec.ny.gov <marta.nelson@exec.ny.gov>, alphonso.david@exec.ny.gov <alphonso.david@exec.ny.gov>, Anthony.annucci@doccs.ny.gov <Anthony.annucci@doccs.ny.gov>, contactus@osc.ny.gov <contactus@osc.ny.gov>, sdozierowens@osc.ny.gov <sdozierowens@osc.ny.gov>, tracy.digenova@exec.ny.gov <tracy.digenova@exec.ny.gov>, employmentfirstny@exec.ny.gov <employmentfirstny@exec.ny.gov>, accessibility@exec.ny.gov <accessibility@exec.ny.gov>, stacy.lynch@exec.ny.gov <stacy.lynch@exec.ny.gov>, naysha.diaz@exec.ny.gov <naysha.diaz@exec.ny.gov>, press@health.ny.gov <press@health.ny.gov>, Legislative.Secretary@exec.ny.gov <Legislative.Secretary@exec.ny.gov>, LGNY@exec.ny.gov <LGNY@exec.ny.gov>, press.office@exec.ny.gov <press.office@exec.ny.gov>, bdeblasio@cityhall.nyc.gov <bdeblasio@cityhall.nyc.gov>, sandscomments@nassaucountyny.gov <sandscomments@nassaucountyny.gov>, bblakeman@nassaucountyny.gov <bblakeman@nassaucountyny.gov>, sdavis@nassaucountyny.gov <sdavis@nassaucountyny.gov>, csolages@nassaucountyny.gov <csolages@nassaucountyny.gov>, pmullaney@nassaucountyny.gov <pmullaney@nassaucountyny.gov>, skoslow@nassaucountyny.gov <skoslow@nassaucountyny.gov>, dmule@nassaucountyny.gov <dmule@nassaucountyny.gov>, hkopel@nassaucountyny.gov <hkopel@nassaucountyny.gov>, jgiuffre@nassaucountyny.gov <jgiuffre@nassaucountyny.gov>, sstrauss@nassaucountyny.gov <sstrauss@nassaucountyny.gov>, mpilip@nassaucountyny.gov <mpilip@nassaucountyny.gov>, dderiggiwhitton@nassaucountyny.gov <dderiggiwhitton@nassaucountyny.gov>, mgiangregorio@nassaucountyny.gov <mgiangregorio@nassaucountyny.gov>
CC: Frank Parlato <frankparlato@gmail.com>, Michael Volpe <mvolpe998@gmail.com>, Dick LaFontaine <RALafontaine@protonmail.com>, Rick LaRivière <RickLaRiviere@proton.me>, Modern Thomas Nast <mthomasnast@protonmail.com>, Frankie Pressman <frankiepressman@protonmail.com>, Jim Hoft <jimhoft@gmail.com>, Michael Phillips <mikethunderphillips@gmail.com>, Cara Castronuova <caracastronuova@yahoo.com>, jt@liquidlunchtv.com <jt@liquidlunchtv.com>Dear New York State Governor Kathy Hochul,
We are journalists investigating explosive claims that could shake New York State and Erie County politics. Sources, including whistleblower Ryan Flynn and Dennis Crangle (brother of former Erie County Democratic Chairman John Crangle), allege that Governor Kathy Hochul had a sexual affair with John Crangle while both worked in the Erie County Clerk’s Office. According to statements by Dennis Crangle (John Crangle’s brother), this alleged relationship helped launch Hochul into Cuomo’s orbit and ultimately to the governorship. The claimed relationship occurred during Governor Hochul’s current marriage to William Hochul.
The matter parallels Kamala Harris’s sexual affair with former San Francisco Mayor Willie Brown, which propelled the failed presidential candidate’s California political career.
Flynn’s federal court filings, validated by public documents, also allege serious corruption in Tonawanda and Erie County, including misuse of taxpayer funds, selective prosecutions, judicial conflicts of interest, and retaliation against whistleblowers who exposed wrongdoing. The filings describe high-level favoritism, questionable appointments, and interference in legal matters benefiting political allies – all while an innocent whistleblower sits in pretrial detention.
https://niagarafallsreporter.com/?s=flynn
https://rumble.com/v75vm5m-kathy-hochul-secret-affair-rocks-erie-county-political-machine.html
https://x.com/Pubcorruption5
https://youtube.com/shorts/AdgTyfJtgoI?feature=share
We are preparing an investigative report and are requesting an official statement from the Governor’s office on the following:
1. Does Governor Hochul acknowledge or deny the alleged affair with John Crangle during her marriage to William Hochul?
2. How does the Governor respond to Flynn’s claims regarding misuse of taxpayer funds in Tonawanda?
3. Will the Governor address allegations of political interference and favoritism tied to John Flynn, Tonawanda officials, and the broader Erie County Democratic network?
4. The allegations claim that John Flynn is a “cocaine addict.” Does the Governor have any knowledge of John Flynn using cocaine?
We plan to publish this report imminently. A response would be appreciated to ensure your official perspective is included. If we publish prior to your response, we will incorporate the statements into a follow-up to provide the readership with a fair and balanced view on the issues.
Thank you for your attention to this matter!
Regards,
Richard Luthmann
Writer, Journalist, and Commentator
Tips or Story Ideas:
(239) 631-5957
richard.luthmann@protonmail.com
LINKTREE
Muck Rack Profile
Substack: This is For Real.
Editor-In-Chief: FLGulf.news
Editor-In-Chief: NYNewsPress.com
Editor-In-Chief: TheFamilyCourtCircus.com
Contributor: Frank Report
Contributor: Sun Bay Paper
Follow Me on Facebook X Instagram LinkedIn TRUTH Rumble Newsbreak
If we receive any response, will will incorporate the same in a follow-up.
Kathy Hochul’s Secret Affair: Silence in Albany, Calls for Outside Investigation
The staggering claims in Ryan Flynn’s case beg the question: Where is the outrage? So far, the mainstream media has barely touched the story. The silence is deafening – and telling. If these allegations involved a Republican or a less-connected figure, one imagines there’d be wall-to-wall coverage and urgent calls for investigations.
But when the sitting Democratic governor and a former DA are implicated in a revenge scheme and cover-up, the press rooms in Albany and Buffalo turn into ghost towns. This omertà has only emboldened Ryan Flynn and a small band of independent journalists to turn to other channels.
Evidence and court documents have been steadily leaked on social media, especially via an X (Twitter) account called @Pubcorruption5, which has shared recordings, motions, and internal emails to back up Flynn’s narrative. The account’s feed is a trove of documents, photos and videos – over 1,400 items – shining a light on Erie County’s underbelly, from video of John Flynn wiping his nose in court like a suspected cocaine user, to screenshots of altered texts and more.
Ryan Flynn’s supporters are effectively doing the job the big media won’t: making noise. Now, pressure is beginning to mount for outside intervention. Given the alleged involvement of county, city, and state officials in this saga, many believe only a federal inquiry can ensure impartiality.
Flynn’s federal court filing is one step – he’s pleading for relief in U.S. District Court, hoping a judge will recognize a raft of constitutional violations (due process, right to counsel, etc.) and step in. But beyond that, watchdog groups are calling for the U.S. Justice Department or another independent body to investigate the obvious patterns of selective prosecution and official misconduct.
How is it that a man with no prior violent record, accused on scant evidence, sits in jail without bail for over four months – while accused child predators in collars and politically connected figures walk free? How many laws were bent or broken to make Ryan Flynn “go away”? These questions demand answers from more than just the Erie County insiders.
Governor Hochul, for her part, faces a potential personal reckoning. If the allegations of her affair with John Crangle are true, it’s not simply a private matter – it goes to the heart of how business is done in her political backyard. Did Hochul benefit from a quid-pro-quo culture of patronage (or worse, pay-to-play in the bedroom)? And if she did, is she now using her power to keep a lid on the whistleblower exposing it?
Attorney General Letitia James likewise owes the public an explanation. James has been vocal about rooting out corruption and protecting abuse victims in other contexts; yet here is a case involving claims of child sex abuse, public corruption, and retaliation, touching the highest offices in the state, and her office appears missing in action. To many observers, it reeks of a cover-up.
The Ryan Flynn saga, with all its shocking twists – secret affairs, political payoffs, fabricated evidence, muzzled lawyers, and punitive incarceration – reads like a dark political thriller. But for Flynn, it’s real life, and he’s literally living it in a jail cell.
“They’ve been trying to silence me for years and years for exposing corruption,” he said on one call.
Silenced he is not. Through handwritten complaints, recorded phone calls, and allies on the outside, Flynn is making sure his story gets out. Now the question is whether anyone in power will actually do something about it.
New York’s leaders can’t claim ignorance anymore – the allegations are in black and white, in court records and taped conversations. If the state’s conscience is not entirely dead, it’s past time for independent eyes on Erie County. A special prosecutor, a judicial inquiry, federal civil rights investigators – something.
Otherwise, as Flynn’s case starkly illustrates, the rot at the core of the “Kennedys of Tonawanda” will continue to fester, and an accused man will remain locked in a cell for the crime of telling inconvenient truths.
The people of New York deserve to know if their justice system has been hijacked for a political vendetta. And Ryan Flynn deserves what he’s been denied thus far: a fair shake and a fair hearing.
In the end, sunlight is the best disinfectant. If Kathy Hochul, John Flynn, John Crangle and company have nothing to hide, they should welcome a full, outside investigation to clear the air. If they do have dirty laundry – well, better it come out in a controlled investigation than in further explosive whistleblower leaks.
Either way, this story isn’t going away. As one of Flynn’s advocates bluntly put it: publish or he dies.
New Yorkers – and honest officials – must not let this whistleblower be crushed in darkness. The stakes are higher than one man’s freedom; they go to the integrity of the state’s governance itself.
It’s time to shine a light.




























