
LUTHMANN NOTE: Connecticut’s Paul Boyne prosecution is no longer about rhetoric. It is about whether the First Amendment protects speech that powerful people despise. Judge Peter Brown ignored binding precedent on overbreadth and true threats. He imposed sweeping speech bans and evidence restrictions that look like prior restraints. Connecticut’s stalking statute mirrors laws that have already been struck down elsewhere. The suppression hearing raises serious interstate evidence concerns.
If this prosecution survives, it sends a chilling message nationwide: criticize judges at your peril. This is not about liking Paul Boyne. It is about defending the Constitution from judicial overreach. This piece is “Connecticut Free Speech Farce,” first available at the world-famous blog: TheFamilyCourtCircus.com.



By Rick LaRivière with Richard Luthmann and Michael Volpe
Judge Brown’s Overbreadth Blunder
(NEW HAVEN, CONNECTICUT) – Paul Boyne, a 64-year-old blogger, stands accused of 18 felony counts for allegedly cyberstalking three Connecticut family court judges. His now world-famous blog, TheFamilyCourtCircus.com, pulled no punches – singling out judges and lacing posts with violent, often anti-Semitic invective. Boyne believes that the Connecticut family courts are “rabbinical” in nature and influenced and controlled by a pedophile cult led, at one point (ideologically if not actually), by former Superior Court Judge Elliot Solomon.
For almost two decades, Boyne, a journalist, has argued that the Connecticut Judiciary is beholden to a cabal of pedophiles, many Jewish. His rhetoric is fringe to most. However, it is virtually indistinguishable from some of the narratives peddled by guests of talk show host Tucker Carlson; one argues that Winston Churchill was the “real villain” of World War II, while another says the CIA killed Kennedy. (Boyne, unsurprisingly, argues that “the Jews” killed Kennedy, in part, to cover up for the Mossad’s theft of 20 kilograms of stolen plutonium from a nuclear facility in Apollo, Pennsylvania. Boyne says the atomic material springboarded the development of the bomb in Israel’s Dimona desert facility.)
For Boyne, a pedophile connection in the family court is par for the course. He wrote extensively about credibly accused Connecticut pedophile Christopher Ambrose as a part of a Connecticut PPP (the “pedophile Protection Program”). From behind a Virginia computer screen, he took aim at Ambrose, the other pedophiles, and, importantly, the judges, he said, who were responsible for looking the other way on criminal depravity affecting Connecticut’s children.
In one screed, Boyne wrote that a female judge was “begging for a .308 shot to the head” from a hidden sniper. He ranted that “Jewish” judges should be removed from the court via the Second Amendment.” Such incendiary speech led to a warrant issued across state lines and eventually to Boyne’s arrest.
But the legal farce unfolding in New Haven Superior Court is now about far more than his ugly words. It’s about a judge who, critics say, is trampling the First Amendment and making a mockery of the law.

Presiding New Haven Judge Peter Brown has already bungled a key constitutional issue. In October, Brown rejected Boyne’s motion to dismiss the charges against him as overbroad, brushing aside binding precedent. Legal experts have already opined on the issue, and they say Judge Brown got it dead wrong.
Connecticut’s stalking statute is almost a carbon copy of the language that courts elsewhere struck down as unconstitutional. The Illinois Supreme Court in People v. Relerford (2017) and an en banc D.C. Court of Appeals in Mashaud v. Boone (2023) both ruled that laws criminalizing “distressing” speech violate the First Amendment. Notably, UCLA law professor Eugene Volokh filed amicus briefs in those cases.
None of that swayed Brown. He upheld charges that effectively criminalize online speech causing emotional distress – an approach the U.S. Supreme Court recently rebuked in Counterman v. Colorado’s true-threats decision.
Judge Brown’s ruling is squarely opposed to First Amendment scholarship. Volokh – a leading authority on free speech – argues that stalking and harassment laws must be confined to “well-defined and narrowly limited classes of speech” like true threats or incitement. Punishing merely “upsetting or arousing contempt” in speech is flatly unconstitutional.
Yet Judge Brown’s ruling ignored this bedrock principle.
Richard Luthmann, a brash Florida-based commentator championing Boyne’s First Amendment rights, blasted Brown’s decision as a “free speech blunder” of historic proportions.
Journalist Michael Volpe quipped that Judge Brown seems to “think he knows better than Professor Volokh and courts around the country” when it comes to the First Amendment – a level of hubris that has turned this trial into a constitutional circus.
Connecticut Free Speech Farce: Blogging to Expose ‘Judges Enabling Pedophiles’
At the heart of Boyne’s intended defense is an explosive theory: he wasn’t stalking judges – he was whistleblowing on a child sex abuse cover-up. Boyne’s incendiary blog posts, he insists, were a form of gonzo journalism aimed at exposing Connecticut family court judges who “enable pedophilia.”
In particular, Boyne had fixated on the case of Christopher Ambrose, a disgraced Hollywood TV writer and father embroiled in a notorious Connecticut custody battle. Ambrose was credibly accused by his ex-wife and children of sexual abuse and child grooming; yet, multiple family court judges and Connecticut DCF shielded him and stripped the mother of custody.
Boyne’s blog crusaded against those judges by name – and indeed, many of his most violent rants were directed at jurists who presided over Ambrose’s proceedings.



It’s no coincidence that the three judges at the core of Boyne’s criminal charges – reportedly Judge Jane Grossman, Judge Elizabeth Stewart, and Judge Thomas Moukawsher – each had roles in the Ambrose saga. Moukawsher infamously disbarred lawyer Nikola Cunha, who tried to expose Ambrose’s alleged abuse, and Grossman and Stewart oversaw Ambrose’s custody outcomes.
In prosecuting Boyne, the State has effectively confirmed this connection. Prosecutors filed a notice of “uncharged misconduct” listing posts about Grossman, Stewart, and Moukawsher – tacitly acknowledging that Boyne’s blogging was obsessed with their handling of the Ambrose case.
In other words, the very context of Boyne’s speech is the corruption he aimed to spotlight.
One chilling blog entry from March 2021 illustrates Boyne’s mindset: “Happy .308 Day!” he wrote. “More justice can be dispensed in one bullet than by all of Family Court… Celebrate the Second Amendment as protection from the pedophiles who run family court. Judicial discretion falls to the report of a rifle.”
The “pedophiles” jab was aimed squarely at judges like Adelman, Grossman, and Moukawsher, whom Boyne saw as protecting a pedophile father rather than children. In Boyne’s view, his vulgar calls to arms were a metaphorical protest – a provocative way to wake the public to an injustice he believed was occurring in family court.
Of course, suggesting “[insert judge name] deserves a .50 cal to the head” is hardly standard muckraking. But Boyne’s defenders argue that beneath the grotesque hyperbole lay legitimate outrage over a real scandal. They note that his blog also published court documents, investigative pieces, and whistleblower testimonies related to the Ambrose case.
“He was exposing something horrific – judges ignoring abuse – in the only way he felt he could,” says journalist Michael Volpe, who has reported on the Ambrose drama.
TheFamilyCourtCircus.com even described itself as “nasty criticism and rants of THE WORST KIND, against the most evil court in the land and the monsters who control it.” Boyne’s proposed defense would argue his writings were a form of political speech about a matter of public concern – corrupt courts and child safety – and thus deserving of the highest First Amendment protection.
Indeed, as outrageous as Boyne’s rhetoric is, it squarely concerns official conduct by public officials (judges) on a case of public interest. That context could matter: speech on matters of public concern occupies “the highest rung of the hierarchy of First Amendment values,” and even caustic, distressing language does not lose protection when spotlighting government wrongdoing.
Boyne’s fate may ultimately hinge on whether a jury (and higher courts) see him as a violent armadant threatening judges – or a crude, non-violent town crier shining light on judicial misconduct.
Connecticut Free Speech Farce: Gag Orders and ‘Gladiator Justice’ on Bond
The irony of Paul Boyne’s situation is that even as he fights for his First Amendment rights in court, he’s a journalist effectively gagged by the court. He was previously imprisoned for 18 months. He was released when his payable bond was reduced to $7,000.
On February 2, after the jury had been selected, Judge Brown raised Boyne’s bond to $1.5 million as a punitive measure for the disclosure of a publicly available witness list to the press.
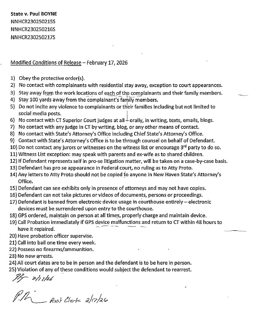
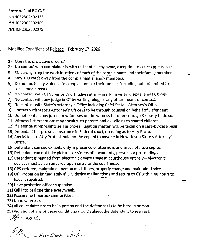
Upon re-release from custody on Feb. 17, Judge Brown imposed a slew of draconian conditions on Boyne’s bond. The orders read like a dissident’s probation in an authoritarian regime.
Boyne is forbidden from any contact with or about the judges involved – not only can he not approach or communicate with them, but he also cannot even mention any Connecticut judge in blogs, emails, texts, or social media. All online commentary on his case or the players in it is off-limits.
In short, the blogger is barred from blogging.
The conditions further bar Boyne from any contact with the State’s Attorneys (except through his lawyer), and from contacting any witness or juror, directly or indirectly. Boyne’s own parents are on the witness list.
Perhaps most stunning, the court has curtailed Boyne’s access to his own evidence: he may only review prosecution exhibits in the presence of his attorneys and “may not have copies.” He is expressly prohibited from photographing or scanning any documents.
This means Boyne, who is preparing to defend himself, cannot even possess the discovery materials outside of supervised sessions. Freedom of speech? Try freedom to remain silent.
These release conditions have drawn sharp criticism from civil libertarians. Richard Luthmann fired off an email on February 19 to Judge Brown and the Connecticut Judicial Department, demanding an explanation for what he called “unconstitutional prior restraint” on Boyne’s speech. As of this writing, neither the judge nor the judiciary has deigned to respond. Apparently, the Connecticut courts’ motto, FYGA – “Fk You, Go Away”, as the world-famous blog mockingly described it, still applies to inconvenient inquiries.






Luthmann’s unanswered email pointedly asked how a defendant is supposed to prepare his case if he’s barred from accessing evidence and barred from speaking about the very facts underlying the charges. Here is what he said:
From: Richard Luthmann <richard.luthmann@protonmail.com>
Date: On Thursday, February 19th, 2026 at 1:24 PM
Subject: PRESS INQUIRY: Is the Connecicut Court Attempting to Break Paul Boyne Before Trial Through Lawfare?
To: peter.brown@jud.ct.gov <peter.brown@jud.ct.gov>, Carl.Cicchetti@connapp.jud.ct.gov <Carl.Cicchetti@connapp.jud.ct.gov>, Joseph.DelCiampo@jud.ct.gov <Joseph.DelCiampo@jud.ct.gov>, External.Affairs@jud.ct.gov <External.Affairs@jud.ct.gov>, Giovanni.Spennato@jud.ct.gov <Giovanni.Spennato@jud.ct.gov>, Michele.Massores@jud.ct.gov <Michele.Massores@jud.ct.gov>, Kerry.Patton@jud.ct.gov <Kerry.Patton@jud.ct.gov>, Peter.Fradiani@jud.ct.gov <Peter.Fradiani@jud.ct.gov>, Marie-Louise.Villar@jud.ct.gov <Marie-Louise.Villar@jud.ct.gov>, barbara.jongbloed@jud.ct.gov <barbara.jongbloed@jud.ct.gov>, eugene.calistro@jud.ct.gov <eugene.calistro@jud.ct.gov>, james.pastore@jud.ct.gov <james.pastore@jud.ct.gov>, john.newson@jud.ct.gov <john.newson@jud.ct.gov>, melanie.cradle@connapp.jud.ct.gov <melanie.cradle@connapp.jud.ct.gov>, officeof.chiefcourtadministrator@jud.ct.gov <officeof.chiefcourtadministrator@jud.ct.gov>, raheem.mullins@connapp.jud.ct.gov <raheem.mullins@connapp.jud.ct.gov>, rhonda.hebert@jud.ct.gov <rhonda.hebert@jud.ct.gov>, rhonda.stearleyhebert@jud.ct.gov <rhonda.stearleyhebert@jud.ct.gov>, robin.pavia@jud.ct.gov <robin.pavia@jud.ct.gov>, tracy.dayton@jud.ct.gov <tracy.dayton@jud.ct.gov>, USPardon.Attorney@usdoj.gov <USPardon.Attorney@usdoj.gov>, uspardon.attorney@usdoj.gov <uspardon.attorney@usdoj.gov>, harmeet.dhillon@usdoj.gov <harmeet.dhillon@usdoj.gov>, maureen.riordan@usdoj.gov <maureen.riordan@usdoj.gov>, leo.terrell@usdoj.gov <leo.terrell@usdoj.gov>, keith.edelman@usdoj.gov <keith.edelman@usdoj.gov>, felicia.martinez@usdoj.gov <felicia.martinez@usdoj.gov>, mvolpe998@gmail.com <mvolpe998@gmail.com>, frankparlato@gmail.com <frankparlato@gmail.com>, caracastronuova@yahoo.com <caracastronuova@yahoo.com>, juliea005@proton.me <juliea005@proton.me>, mthomasnast@protonmail.com <mthomasnast@protonmail.com>, RALafontaine@protonmail.com <RALafontaine@protonmail.com>, RickLaRiviere@proton.me <RickLaRiviere@proton.me>, mikethunderphillips@gmail.com <mikethunderphillips@gmail.com>, frankiepressman@protonmail.com <frankiepressman@protonmail.com>, volokh@stanford.edu <volokh@stanford.edu>, volokh@law.ucla.edu <volokh@law.ucla.edu>, breakingnews@courant.com <breakingnews@courant.com>, ckeating@courant.com <ckeating@courant.com>, emahony@courant.com <emahony@courant.com>, hbennett@courant.com <hbennett@courant.com>, klove@courant.com <klove@courant.com>, newstips@courant.com <newstips@courant.com>, Marc@insideinvestigator.org <Marc@insideinvestigator.org>, conner@insideinvestigator.org <conner@insideinvestigator.org>, insideinvestigator@protonmail.com <insideinvestigator@protonmail.com>, jimhoft@gmail.com <jimhoft@gmail.com>, jkatz@goodwin.com <jkatz@goodwin.com>
CC: mediacontacts@infowars.com <mediacontacts@infowars.com>, showtips_nfocom@infowars.com <showtips_nfocom@infowars.com>, whistleblowers@infowars.com <whistleblowers@infowars.com>, tips@lawandcrime.com <tips@lawandcrime.com>, tips@candaceowens.com <tips@candaceowens.com>, tips@nypost.com <tips@nypost.com>, newstips@courant.com <newstips@courant.com>, tips@ctnews.com <tips@ctnews.com>, tips@lawnewz.com <tips@lawnewz.com>, tips@theappeal.org <tips@theappeal.org>Dear New Haven Judge Peter Brown:
This journalistic inquiry will be published. And you will probably read all about it.
https://thefamilycourtcircus.com/2026/02/18/hartford-courant-hack-ed-mahony/
You preside over the State of Connecticut’s prosecution of Paul Boyne — a self-described white Christian nationalist journalist — for what he and his supporters argue are nothing more than protected political speech crimes dressed up as “cyberstalking.”
Over the last three weeks in State of Connecticut v. Boyne, you have:
-Raised bond from $7,000 to $1.5 million without a pending motion.
- Incarcerated a non-violent defendant in a special management prison unit.
- Admitted the bond increase addressed “contemptuous” conduct.
- Barred the defendant from possessing copies of his own exhibits.
- Imposed sweeping speech restrictions and no-contact provisions.
- Allowed medical instability to develop while the trial looms.
Now face a “non-compliant progress report” that may trigger renewed incarceration days before jury selection based on patently unconstitutional provisions.
The cumulative pattern raises a blunt question: Is this pretrial supervision — or punishment unto death? Is this attempted institutional homicide? Do the “powers that be” that give you orders in Connecticut want Paul Boyne dead? Because that’s his theory, and I have to admit, the facts over the past three weeks make even his most outlandish claims more and more plausible.
The Eighth Amendment prohibits excessive bail. U.S. Const. amend. VIII. Bail exists to ensure appearance, not to penalize speech. Stack v. Boyle, 342 U.S. 1, 4 (1951). Pretrial detention cannot be punitive. United States v. Salerno, 481 U.S. 739, 746–47 (1987).
You stated on the record that the bond was raised because of what you viewed as improper conduct. That sounds punitive.
Now the medical issue.
Mr. Boyne reports a significant lapse in his diabetic treatment:
- Injection due 2/3 missed due to incarceration.
- Next injection 2/9 after DOC special order.
- Transfer to Walker interrupted medication chain.
- Injection due 2/17 missed.
- Pharmacy refill returned to stock while imprisoned.
- Replacement medication unavailable until 2/25 IN VIRGINIA.- He reports unstable glucose levels and cardiovascular stress.
The Constitution prohibits deliberate indifference to serious medical needs. Estelle v. Gamble, 429 U.S. 97, 104–05 (1976). Due process requires a defendant be physically and mentally competent to stand trial. Drope v. Missouri, 420 U.S. 162, 171–72 (1975).
How does forcing a medically unstable defendant into trial next Tuesday satisfy due process?
Then the release conditions.
The modified order bars blogging, restricts communication, prohibits contact with broad categories of people, bans possession of exhibits, and imposes GPS monitoring.
Broad speech restrictions trigger strict constitutional scrutiny. Prior restraints carry a heavy presumption against validity. Nebraska Press Ass’n v. Stuart, 427 U.S. 539 (1976).
Are these conditions narrowly tailored — or designed to silence a critic?
Now we have a progress report alleging wrist monitor non-compliance and an email to a judicial office. Is bond about to be raised again days before trial, meaning the Connecticut Judiciary are itching to throw him back in?
From the outside, the record reads like escalation after escalation.
The public question is not subtle: Is the Court ensuring compliance — or attempting to break the defendant before trial? How can the public be assured that Paul Boyne can get a fair trial? And how can the reasonable observer believe that you are not biased beyond biased?
Are we witnessing firm judicial management — or a contest to see how many constitutional tripwires can be triggered in a single case? Do you have an over/under bet with former Judge Katz? What you spoken with her about the Boyne case? After all, the standing Connecticut directive is KATZ SPEAK TO ONLY!
This matter is no longer obscure. It is Lawfare and Weaponized Justice. It has drawn national First Amendment attention.
You are invited to respond personally, or through one of your many Connecticut Judiciary minions. Your answer will be published in full.
From my interviews with Mr. Boyne, I believe his preferred mode of response would be an Order of Recusal.
Thank you for your attention to this matter!
Regards,
Richard Luthmann
Writer, Journalist, and Commentator
Tips or Story Ideas:
(239) 631-5957
richard.luthmann@protonmail.com
LINKTREE
Muck Rack Profile
Substack: This is For Real.
Editor-In-Chief: FLGulf.news
Editor-In-Chief: NYNewsPress.com
Editor-In-Chief: TheFamilyCourtCircus.com
Contributor: Frank Report
Contributor: Sun Bay Paper
Follow Me on Facebook X Instagram LinkedIn TRUTH Rumble Newsbreak
The silence in response only underscores the arrogance at play.
“They’ve effectively put the First Amendment itself on trial,” Luthmann opined in frustration. “They’re gagging the guy and tying his hands in court – it’s gladiator justice where one side is blindfolded.”
After public outcry and an appellate filing, Judge Brown partially walked back his February 2 bond stunt – restoring Boyne’s bond to the original amount – but the onerous conditions remain in place. Boyne is now free in name only: a man at liberty who cannot freely speak, cannot blog, and cannot even look at the evidence against him without a chaperone. This heavy-handed approach has only fueled Boyne’s claims that the prosecution is more about silencing him than protecting anyone.
Indeed, the Family Court Circus blog slyly noted that Connecticut “deployed its agents to hunt down blog contributors, even crossing state lines” to snatch Boyne, because “Free speech is the enemy of the Judiciary… .”
In one post, Boyne (with his signature florid vitriol) warned that judges who trample free speech should “fear the power of a sovereign people” – citing the Second Amendment as a check against tyranny and quipping that “a .50 cal to the head does an excellent job of readjusting the attitude of tyrants.”
Such language is abhorrent, but it captures the defiant spirit in which Boyne is now defending himself. He sees himself as a man against the machine, muzzled for political speech that struck too close to the judges’ sins.
Connecticut Free Speech Farce: What’s Next?
As this bombshell case careens forward, the big questions loom: Will a jury convict Boyne for his violent words, despite the First Amendment’s broad shield over political hyperbole? Will Judge Brown’s rulings hold up on appeal, or will higher courts smack down what Luthmann calls this “legal farce” in the Nutmeg State?
And if Paul Boyne is a monster for his speech, what do we call the monsters he was shouting about?
The coming days in New Haven promise a spectacle of high-stakes courtroom drama – a true circus of law and principle, with free speech on the tightrope. The nation may soon find out whether Connecticut’s attempt to crucify a blogger ends up vindicating him as a First Amendment martyr, or cementing a dangerous precedent against online dissent.
One thing’s for sure: this is no ordinary trial – it’s a bare-knuckle brawl over the Constitution itself, and the whole judicial system is in the spotlight.
Stay tuned.



























