


By Richard Luthmann with Michael Volpe
Freed Blogger Speaks Out: “Jailed for Words, Not Crimes”
(NEW HAVEN, CT) – Paul Boyne walked out of a Connecticut courthouse a semi-free man this week – at least on paper. Just days before his trial, Judge Peter Brown abruptly released the 63-year-old Anapolis graduate, Navy veteran, nuclear engineer, former U.S. Military contractor, and father from jail, ending a controversial two-week stint behind bars that critics blasted as punishment for speech.
In an exclusive interview moments after his release, Boyne was unrepentant because he feels he’s done nothing wrong.
“They didn’t detain a person – they detained a viewpoint,” he said, visibly gaunt from his time in lockup. “I never pointed a gun at anyone. I put words on a website,” Boyne quipped, condemning the state for treating his fiery blog posts as crimes.
Boyne had spent 17 months in pre-trial detention on charges stemming from his blog, the world-famous TheFamilyCourtCircus.com, before securing bail last year. But on February 2, Judge Brown yanked that freedom away over a trivial provocation – an email.
“They locked me up for an email, for God’s sake,” Boyne scoffed.
At issue: Boyne forwarded the prosecution’s unsealed witness list to journalists and Virginia law enforcement, publicizing names that had already been read aloud in open court. Brown fumed that Boyne was trying to “intimidate” witnesses and vowed to teach him a lesson.
“The judge basically said I needed to ‘learn my lesson’ in a cell,” Boyne recalled, describing the ordeal as a judicial ambush. He emerged from jail diabetic and 15 pounds lighter, but defiant: “This was never about safety – it was about silencing me.”
Now out on bond again, Boyne is gearing up for a February 24 trial where he faces 18 felony counts. The charges accuse him of cyberstalking three Connecticut judges through a series of 2021 blog posts (dubbed “The Hateful Eight”) that vilified the judiciary.
The posts (and others) pulled no punches – infamously musing about judges in “the crosshair sight of a firearm” and “begging for a .50 cal to the head.” Recently filed court documents show that the New Haven State Prosecutor is seeking to introduce even more blog posts to show Boyne’s modus operandi (a dastardly enterprise referred to by most as “journalism” and/or “commentary”). Here they are:
Boyne admits his rhetoric was “offensive, even disgusting,” but insists it was political hyperbole protected by the First Amendment.
“I used shocking words to expose what I see as corruption,” he said. “They’re trying to put me away for it.”
And Boyne has a point. The State Attorney’s strategy reveals that he will try to “make hay” (and a criminal conviction) out of Boyne’s publication of Connecticut state and local public records available online for anyone to see. Even some who condemn Boyne’s screeds agree the prosecution is troubling: Frank Parlato’s Frank Report – which first interviewed Boyne in 2023 – noted the case “reeks of suppression of speech” rather than protection of any actual victims.
Boyne’s release, however conditional, marks the first break in a case that has become a free speech flashpoint.
Biased Judge Brown Blinks: Bond Backfire and Eleventh-Hour Release
Boyne’s legal saga took a dramatic turn over the last few weeks, evolving into a courtroom rollercoaster. For months, he had been out on a modest $7,000 bond with an ankle monitor, diligently appearing for court and even picking a jury for his trial. Prosecutors dangled a plea deal (time served, no probation) to resolve the case, but Boyne rejected it on principle.
Then came the whiplash. In a rushed, closed hearing on Feb. 2, Judge Brown suddenly spiked Boyne’s bond to $1.5 million – an astronomical jump that guaranteed the blogger would land back in jail. The move caught everyone off guard; even the State’s Attorney, Jack Doyle, had withdrawn his bond-increase motion days earlier as legally baseless.
Judge Brown forged ahead sua sponte, citing Boyne’s witness-list email as a pretext. He openly admitted the bond hike was “meant to punish” Boyne for that disclosure – a jaw-dropping declaration that drew gasps from onlookers.
“This looks like pure retaliation,” one court watcher muttered as marshals hauled Boyne away.
The backlash was swift. Boyne’s attorney filed emergency appeals, arguing Brown’s punitive bond violated fundamental rights. The Connecticut Appellate Court responded with uncommon speed, ordering prosecutors to justify the excessive bail and pointedly noting that Judge Brown himself had set a Feb. 17 rehearing. The message to the trial judge was clear: fix this, or we will.
Under the appellate spotlight, Judge Brown blinked. On February 17, he convened a brief hearing and freed Boyne on the original bond, effectively undoing his own stunt.
The reversal came with no apology and little explanation – but its timing spoke volumes. By releasing Boyne hours before the Appellate Court could meaningfully act, Judge Brown effectively mooted the pending review that was poised to scrutinize the legality of the $1.5 million bond hike.
In theory, the “capable of repetition, yet evading review” doctrine may preserve the constitutional issue for appellate resolution. See Weinstein v. Bradford, 423 U.S. 147, 149 (1975); Loisel v. Rowe, 233 Conn. 370, 382–83, 660 A.2d 323 (1995). Short-term deprivations of liberty that expire before review are classic candidates for that exception.
But doctrine does not restore lost time. It does not repair medical deterioration. And it does not change the fact that Boyne faces a jury next week before the very judge who imposed the punitive bond in the first place. Appellate relief, even if ultimately available, offers cold comfort to a defendant preparing for trial under the shadow of a detention order that evaporated just in time to avoid formal rebuke.
“His release is a victory for now, but the damage is done,” one courtroom observer remarked, noting Boyne lost two critical weeks of trial prep while locked up, and his health suffered without proper diabetic medication. Indeed, Boyne appeared pale and exhausted in court, a stark contrast to the sharp defendant (and maybe soon-to-be pro se litigator) who had been mounting his defense. Brown’s flip-flop has only fueled criticism of his neutrality.
“The same judge who threw him in jail for nothing will now preside at trial – imagine that,” a supporter observed warily.
Boyne says his appointed counsel, Todd Bussert, will not file a motion to disqualify Judge Brown for bias, finding “no basis to do so.”
The focus now shifts to the Feb. 24 trial, where Boyne will appear from freedom, not in an orange jumpsuit[16]. But the questions raised by the bond debacle loom larger than ever.
Even before the trial, the lawfare against Boyne has come under harsh scrutiny. His supporters point to a pattern of overreach: Connecticut authorities went to extraordinary lengths pursuing the blogger. They extradited him from Virginia in 2023 on the 18 stalking charges, invoking a new 2021 hate-crime statute to inflate what would normally be a misdemeanor into felonies. Boyne says the new law was “fueled by the ADL and was already declared unconstitutional in Illinois and Washington, D.C.”
They raided Boyne’s Virginia home in 2022 – without a valid Virginia warrant, he alleges – seizing his computer in a search now being challenged as illegal. And as the trial approached, prosecutors dumped a sprawling 68-name witness list – including seven judges, former state Supreme Court justice Joette Katz, and even Boyne’s elderly parents – a tactic critics say was designed to overwhelm the defense and deter press coverage.
When Boyne shared that unsealed list with fellow journalists, Doyle and Brown pounced, painting it as a dire threat. Yet notably, Doyle stopped short of alleging any new crime or witness tampering in court, conceding the email “may or may not” have even been criminal. To observers, it appeared Brown had been “itching to jail Boyne regardless.”

“He was looking for a reason to put Paul back in, and now he found one,” journalist Michael Volpe said of Brown’s mindset.
Volpe, who has covered the saga alongside this reporter, didn’t mince words: “What Judge Brown did was way over the line… he’s lucky judicial immunity is as strong as it is.”
The optics are undeniable – a judge jailing a vocal critic for exposing public information, then quietly undoing it under appellate pressure – and they have stained the judiciary’s credibility on the eve of trial.
As Boyne puts it, “They tried to break me in the hole for two weeks. They failed.”
Biased Judge Brown Blinks: Excessive Bail, Gag Justice & Constitutional Clashes
Judge Brown’s bond fiasco has triggered a firestorm of legal debate, shining a harsh light on the constitutional limits of pretrial punishment. The Eighth Amendment to the U.S. Constitution flatly prohibits “excessive bail” – meaning a judge cannot set bail so high as to effectively detain a defendant without compelling reason.
In Boyne’s case, no one claims this blogger is violent or apt to flee; his supposed transgression was an email and incendiary opinions. By Judge Brown’s own admission, the $1.5 million bond was meant to punish Boyne’s “contemptuous” sharing of the witness list. That is constitutionally backwards. Judge Brown effectively “jailed a viewpoint, not a person.” Using bail as a cudgel to smack down speech is unheard-of in American courts – and blatantly unconstitutional.
Beyond the Eighth Amendment, Brown’s maneuvers trampled on due process and free expression rights. The Feb. 2 bond hearing itself was a due process nightmare: scheduled with almost no notice, held behind closed doors, and initiated by the judge without any formal motion pending. Boyne’s defense was ambushed – a scenario fundamentally at odds with the notion of a fair hearing.
The U.S. Supreme Court has long championed open and adversarial court proceedings; as Justice Hugo Black observed, “what transpires in the courtroom is public property.” Secretive, last-minute hearings that yank a defendant’s freedom turn that principle on its head.
To make matters worse, once Boyne was thrown in jail, Judge Brown barred him from accessing his own legal materials and discovery documents behind bars. This left Boyne effectively defenseless in preparing for trial – a glaring Sixth Amendment problem.
Judge Brown trampled Boyne’s rights with punitive zeal, appearing to flout the Connecticut Constitution’s guarantees as well. The state Bill of Rights affirms that accused persons shall be “released on bail upon sufficient sureties” in all but the most severe cases.
In plain terms, you cannot jail a man pretrial just because you don’t like what he’s saying. As the dust settles, lawyers across the country are taking note. If a defendant like Boyne, an Annapolis graduate, nuclear engineer, and 30-year Navy contractor with no violence on his record, can be jailed for blogging, what does that bode for dissidents with far less incendiary tongues?
This case is a canary in the coal mine for free speech. The precedent of law-and-order via gag and cell has alarmed even seasoned First Amendment scholars.
The consensus: Judge Brown’s bail stunt wasn’t just heavy-handed; it was unconstitutional in broad daylight.
Biased Judge Brown Blinks: Release Conditions Raise Constitutional Red Flags
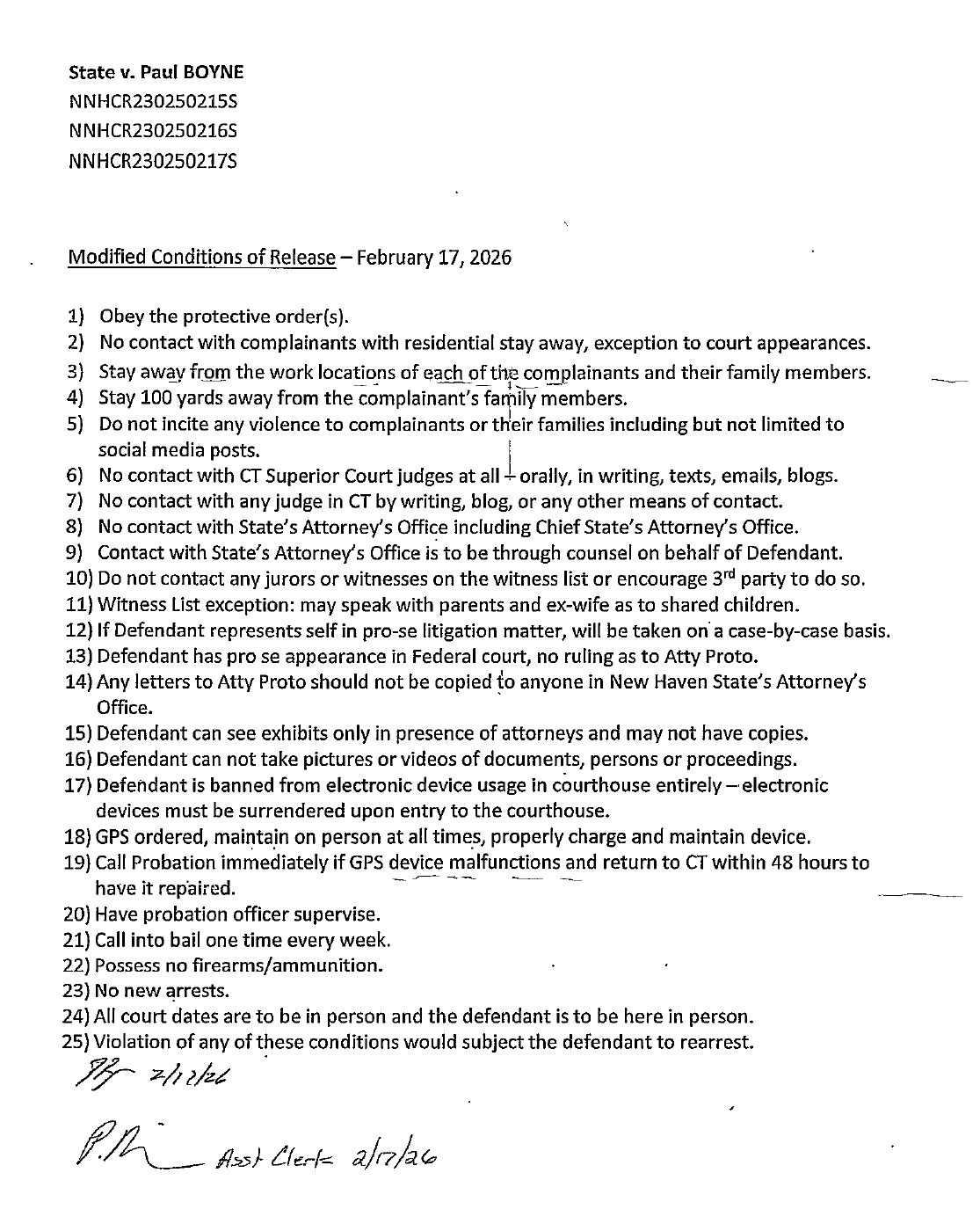
Though Boyne is out of jail, he’s hardly free. Judge Brown’s modified conditions of release are raising new constitutional concerns – so much so that legal experts say they may be unconstitutional on their face. As a price for his freedom, Boyne must wear a GPS ankle monitor and adhere to a gag order that muzzles his contact with an expansive list of people. On paper, that might sound like a routine no-contact condition. In practice, it’s astonishingly broad.
“They gagged me from talking even to Mom and Dad,” Boyne exclaimed, still incredulous. “My parents are in their 80s. They put them on the list just to shut me up.”
Journalists covering the case (except for those on the “Stasi-approved list”) have been spoken of with disdain in open court.
A blanket ban preventing a defendant from speaking to virtually anyone involved in or reporting on his case is the kind of prior restraint that American law has long viewed with deep skepticism. If outright gag orders on the press during trials are almost never upheld (see Nebraska Press Ass’n v. Stuart, 427 U.S. 539 (1976)), a gag on a defendant’s personal speech and family interaction should fare no better.
The U.S. Supreme Court has noted that conditions of pretrial release must be “least restrictive” necessary to assure appearance and public safety (a principle reflected in federal and state bail statutes). By contrast, the conditions imposed on Boyne seem most restrictive: effectively a form of speech and associational quarantine.
As one of Boyne’s supporters put it, “This is punishment in advance, pure and simple.”

The modified release conditions are already attracting legal challenges. Boyne’s team is reportedly preparing motions arguing that the gag elements violate his First Amendment rights on their face. Even seasoned attorneys unaffiliated with the case agree the orders won’t withstand scrutiny:
“Any condition that forbids a defendant from speaking about his case or contacting his family enters dangerous constitutional territory,” notes a Connecticut civil rights attorney who did not wish to be named.
Judge Brown’s modified conditions do not just muzzle speech; they stomp on the Petition Clause itself. The First Amendment protects not only the right to speak, but the right “to petition the Government for a redress of grievances.” That protection includes direct communication with courts and public officials. See California Motor Transp. Co. v. Trucking Unlimited, 404 U.S. 508, 510 (1972); BE&K Constr. Co. v. NLRB, 536 U.S. 516, 524–25 (2002).
Yet Judge Brown’s order bars Boyne from contacting “any CT Superior Court judges at all — orally, in writing, texts, emails, blogs,” and from contacting the State’s Attorney’s Office except through counsel. That is not a narrow no-harassment restriction. It is a categorical ban on petitioning judicial and prosecutorial officials. It forbids criticism. It forbids advocacy. It forbids even written grievances directed at those in power.

The Supreme Court has warned that petitioning the government is at the core of First Amendment liberty. McDonald v. Smith, 472 U.S. 479, 482 (1985). When a court order blocks a defendant from speaking to, writing to, or publicly criticizing judges who are government actors, it does more than regulate conduct — it suppresses the right to petition.
Combined with restrictions on document access and blogging, the order reads less like pretrial supervision and more like a constitutional blackout. If the government can jail a critic and then forbid him from petitioning the very officials prosecuting him, the Petition Clause becomes a dead letter.
In short, Judge Brown’s attempt to save face by freeing Boyne has opened a new can of worms: the draconian conditions of that freedom. If the goal was to chill Boyne’s voice, the effect may be the opposite – the conditions have become Exhibit A in arguing the court is trampling rights.
Biased Judge Brown Blinks: Free Speech vs. Judicial Power
The Paul Boyne saga has morphed from an obscure cyberstalking case into a national First Amendment and judicial accountability flashpoint. What began as a prosecution of a fringe blogger for violent speech has exposed, in dramatic fashion, the lengths to which the judicial system will go to shield itself from scathing criticism.
“This case is about more than me,” Boyne said in our interview. “It’s about whether we as Americans can call out our public officials – even harshly – without being thrown in a cage.”
That sentiment resonates far beyond Connecticut. Free speech advocates see Boyne’s plight as a test case for how far courts can stretch the label of “true threats” to criminalize speech that, however repugnant, never resulted in real-world violence.
At the same time, judicial watchdogs view Judge Brown’s heavy-handed actions as symptomatic of a broader problem: “lawfare” against dissenters. As covered extensively on Luthmann.Substack.com and TheFamilyCourtCircus.com, Boyne’s prosecution fits a pattern where powerful insiders use the levers of law to bludgeon critics into silence.
Michael Volpe Investigates Substack, and Frank Parlato’s Frank Report have likewise chronicled this saga, highlighting evidence of prosecutorial overreach, secret coordination by judicial figures, and possible misconduct (such as delayed disclosure of exculpatory evidence). In the court of public opinion, what was once dismissed as the rantings of a “conspiracy blogger” is now sparking serious discussion about judicial immunity, accountability, and the abuse of pretrial power.
The outcome of State of Connecticut v. Paul Boyne may set a powerful precedent. If the state succeeds in punishing Boyne for his speech, it could embolden courts elsewhere to label harsh criticism as “stalking” or intimidation – a potential chilling effect on bloggers, journalists, and whistleblowers who dare to take on judges.
If Boyne prevails, however, it would be a stark rebuke to what he and others call a “rigged” effort to snuff out dissent. Already, the controversy has prompted calls for Judge Brown’s removal.
“I think Judge Brown should be impeached,” this reporter opined in a recent podcast, calling the judge “derelict in his duty” for weaponizing his gavel to muzzle a critic.
Others have suggested that the U.S. Justice Department should closely monitor the case, given the constitutional stakes. The Reconstruction-era Ku Klux Klan Act was enacted precisely to address situations in which state actors allegedly conspired to deprive individuals of constitutional rights under color of law. See 42 U.S.C. § 1983; 18 U.S.C. § 241. The statute was designed to prevent local power structures from weaponizing legal processes to silence political dissenters.
Where a defendant claims punitive bail, speech-based prosecution, and sweeping prior restraints, some observers argue the federal civil rights framework is implicated. The Ku Klux Klan Act was not about symbolism. It was about federal oversight when state institutions allegedly suppress fundamental rights. Whether that threshold is met here is a legal question. But the constitutional gravity of the allegations has prompted calls for federal scrutiny.
The modified release conditions imposed on Boyne may be the next battleground. Legal filings are expected to argue that those conditions – particularly the sweeping gag on speech and association – fail any constitutional test.
On their face, they appear to violate the First Amendment, and no amount of post hoc justification can cure their overbreadth, particularly if Connecticut Bail Services, an arm of the Connecticut Judiciary, tries to bust Boyne back into jail during his trial.
As the Supreme Court noted in Sheppard v. Maxwell, judges must balance order and rights; here, the balance tipped so far that it broke. In the final analysis, the restriction that Boyne “not post or communicate about the case” (if enforced) would amount to an unlawful prior restraint. Likewise, forbidding him from speaking to family members who happen to be on a witness list (in what many see as a tactical list-padding by the prosecution) bears no rational relation to preventing witness tampering – it is punitive, not preventive.
Such conditions cannot stand. If constitutional guarantees mean anything, they mean that the government cannot cut out a citizen’s tongue as the price of pretrial release.
As Boyne’s trial approaches, all eyes are on New Haven. A case that once flew under the radar is now being compared to landmark free speech battles. The world will be watching how the Connecticut judiciary handles a defendant who made it his mission to lambaste them. Will the proceedings reaffirm bedrock principles – open courts, fair trials, free speech – or will they rubber-stamp what critics call a “constitutional trainwreck”?
For now, Paul Boyne is home in Virginia under electronic monitoring, preparing to face a jury of his peers. He does so without his blog, which he remains censored from, and under a cloud of restrictions that most defendants never imagine. Yet, his resolve seems unshaken.
“They wanted to scare me silent,” Boyne told me, the edge in his voice undimmed. “But I’m not going quietly. Not when the Constitution is on the line.”
In the battle between a lone blogger and the judicial Goliath, the stakes go well beyond one man’s fate – touching the first principles of free expression and the accountability of those in power.
We know one thing. This family court circus has become a full-blown constitutional drama, and its final act has yet to play out.






















